公式整理
[TOC]
泰勒
\begin{eqnarray} \sin x & = & x-\frac{x^{3}}{6}+o\left(x^{3}\right) \\ \arcsin x & = & x+\frac{x^{3}}{6}+o\left(x^{3}\right) \\ \cos x & = & 1-\frac{x^{2}}{2}+\frac{x^{4}}{24}+o\left(x^{4}\right) \\ \tan x & = & x+\frac{x^{3}}{3}+o\left(x^{3}\right) \\ \arctan x & = & x-\frac{x^{3}}{3}+o\left(x^{3}\right) \\ e^{x} & = & 1+x+\frac{x^{2}}{2 !}+\frac{x^{3}}{3 !}+o\left(x^{3}\right) \\ \ln (1+x) & = & x-\frac{x^{2}}{2}+\frac{x^{3}}{3}+o\left(x^{3}\right) \\ (1+x)^{\alpha} &=& 1+\alpha x+\frac{\alpha(\alpha-1)}{2} x^{2}+o\left(x^{2}\right) \\ \sqrt{1+x} &=& 1+\frac{1}{2}x - \frac{1}{8}x^2 + o(x^2) \\ \sqrt[3]{1+x} &=& 1+\frac{1}{3}x - \frac{1}{9}x^2 + o(x^2) \\ (1+x)^{\frac{1}{x}} &=& e-\frac{e}{2} x+\frac{11 e}{24} x^{2}-\frac{7 e}{16} x^{3}+o\left(x^{3}\right) \end{eqnarray}习题常见
微分
导数
反函数
曲率
曲率半径
多元微分
无条件极值
曲面的法向量
微分方程
分数型代换
伯努利
欧拉方程

可降阶

常系数微分方程
See:常系数微分方程
空间几何
三向量共面:,或者说行列式为0
点到直线距离:
直线夹角:
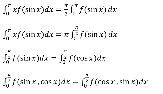
积分
基础
\int\sec{x}&=&\ln{|\sec{x} +\tan{x}|} \\ \int{\csc{x}} &=& \ln{|\csc x - \cot x|} \\ \int{\frac{dx}{\sqrt{a^2 - x^2}}} &=&\arcsin{\frac{x}{a}}\\ \int{\frac{dx}{a^2 + x^2}} &=&\frac{1}{a}\arctan{\frac{x}{a}}
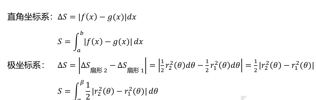
几何应用
面积

旋转体体积

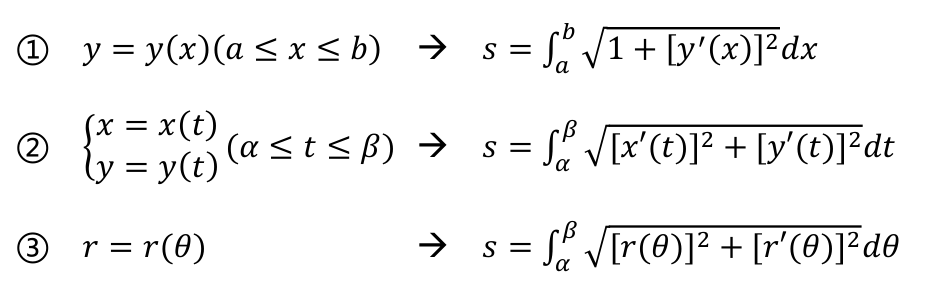
弧长

旋转曲面面积

级数
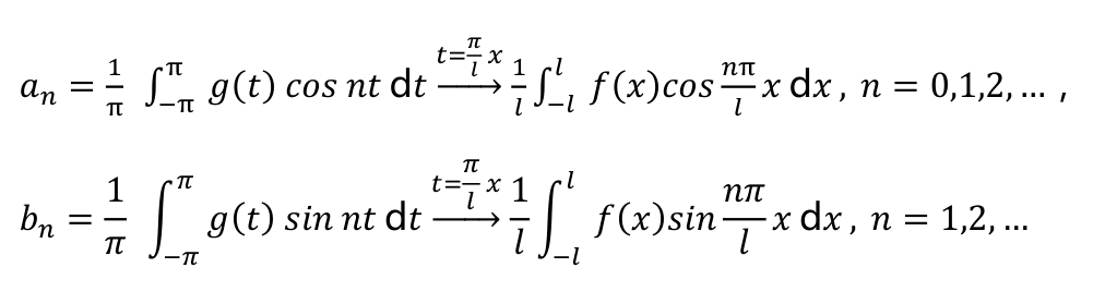
傅里叶级数

泰勒级数
线面积分
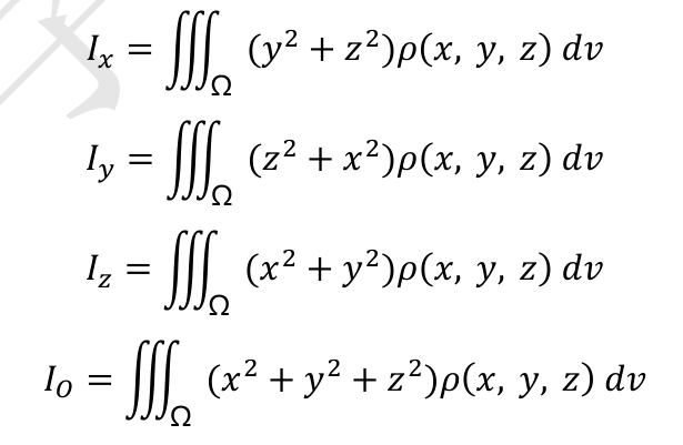
转动惯量

第一类曲线积分(空间曲线质量)

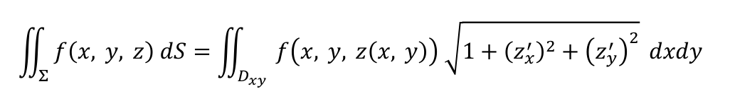
第一类曲面积分(空间曲面质量)

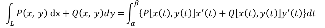
第二类曲线积分(向量积分,二维)

第二类曲面积分(求曲面通量)

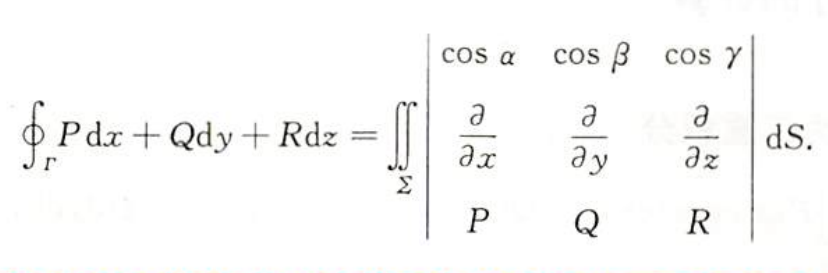
空间第二型曲线积分(向量积分,三维)斯托克斯公式
