一种优化算法,广泛用于机器学习
# Vanilla Gradient Descent
# 梯度下降的普通版本
while True:
weights_grad = evaluate_gradient(loss_fun, data, weights)
weights += - step_size * weights_grad # 更新参数细分
批量梯度下降
]
随机梯度下降
小批次梯度下降
存在问题
局部最小值和鞍点的梯度都为0,这时算法会停止,我们把这两种点统称为临界点(Critical Point)
局部最小值
对于凸问题,梯度下降算法可以很容易地找到全局最小值,但出现非凸问题时,梯度下降算法很难找到全局最小值,而模型只有找到该值才能得到最好的结果。
处理方法:
- 局部最小值极少出现
- 可以通过升维转化为鞍点
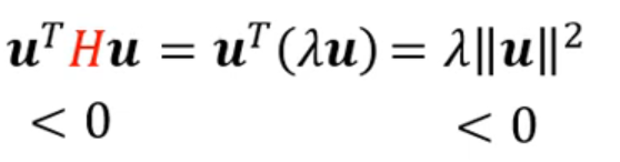
鞍点
我们需要梯度朝向损失函数小的地方,所以使用负特征值对应特征向量作为梯度,那么

梯度消失
在梯度过小时发生。 当我们在反向传播过程中向后移动时,梯度将持续变小,导致网络中早期层的学习速度比后期层慢。 当这种情况发生时,权重参数会进行更新,直到它们接近零,这将导致算法不再学习。
梯度爆炸
在梯度太大时会发生这种情况,导致创建的模型不稳定。 在这种情况下,模型权重会变得太大,并最终表示为 NaN。 利用降维技术,可以最大程度地降低模型中的复杂性。